The Sum of the Evidence for "Special Batches" in Israel

Amounts to Exactly Zero: A Review of a Fairy Tale of Dubious Origin

Every now and then, someone pops up in my X feed claiming that Israel received placebo batches, instead of the untested and adulterated junk presented as COVID vaccines that the rest of the world got. For a prime example of an entirely erroneous viral tweet, see the idiot below.

It isn’t just an insult to our intelligence in a climate where antisemitism - like other divisive hatreds - is grossly and algorithmically encouraged by our benevolent eugenicists and globalist tech overlords; it is also completely baseless once you scratch the surface.

One thing about the “evil Jews control the world” crowd we meet online is that they never, ever verify a primary source. For them, the British or German royal families, the Rockefellers or Carnegies, the BIS or CCP, the alliance of secret services, banking interests, and Saudi fortunes are all negligible forces behind the trends we observe. In their worldview, it’s all the Rothschilds, or, eventually, Chabad-Lubavitch. And these are, in their eyes, also particularly respectful of the fate of their fellow co-religionists.

The following article addresses a few key reasons that allow us to say that Israel - made, in the words of Albert Bourla,1 the “world laboratory” by the will of one of the most corrupt heads of state alive, Benjamin Netanyahu - suffered a fate equally as sinister as that of most other countries with COVID-19 vaccination.

The roll-out in Israel has left a trail of devastation and injuries. In September 2021, one of the first documentaries to testify to these injuries was released, directed by Avital Livny.2

This trail of deaths, miscarriages, and injuries has - at least for a very under-reported fraction - found its way into VAERS. The batch references in VAERS’s foreign data make it clear that the lots distributed there were for the most part the same as in other countries.3

Of the 2,061 reports originating from Israel and submitted to VAERS, 1,613 concern the Pfizer-BioNTech vaccine. 1,056 of these reports have no lot information, and another 44 are labeled “Unknown”, which leaves us with 513 reports containing usable lot information.

The following table shows, for countries other than the US, where the 10 most common lots among adverse events reported in Israel are also found (Perl).

The pattern of certain lots appearing to be country-specific in VAERS is also found in other countries of similar size that we examined - Switzerland, for example - and is most likely due to the fact that, at the request of European regulators at the end of 2022, VAERS removed country-identifying fields from many manufacturer-submitted foreign reports, which effectively prevents analysis of EU countries by name.

In the paper Increased emergency cardiovascular events among under-40 population in Israel during vaccine roll-out and third COVID-19 wave by Sun et al., the authors highlighted a clear increase in emergency phone calls during the rollout - reproduced below for Acute Coronary Syndrome calls in the 16–39 age group.

An excellent preprint, Observed-to-Expected Fetal Losses Following mRNA COVID-19 Vaccination in Early Pregnancy, by Guetzkow et al.,4 raised the alarm about the rise in miscarriages among women vaccinated against COVID-19, in Israeli insurer data. Prof. Josh Guetzkow described it in layman’s terms on his own Substack, in an article I invite you to read.5

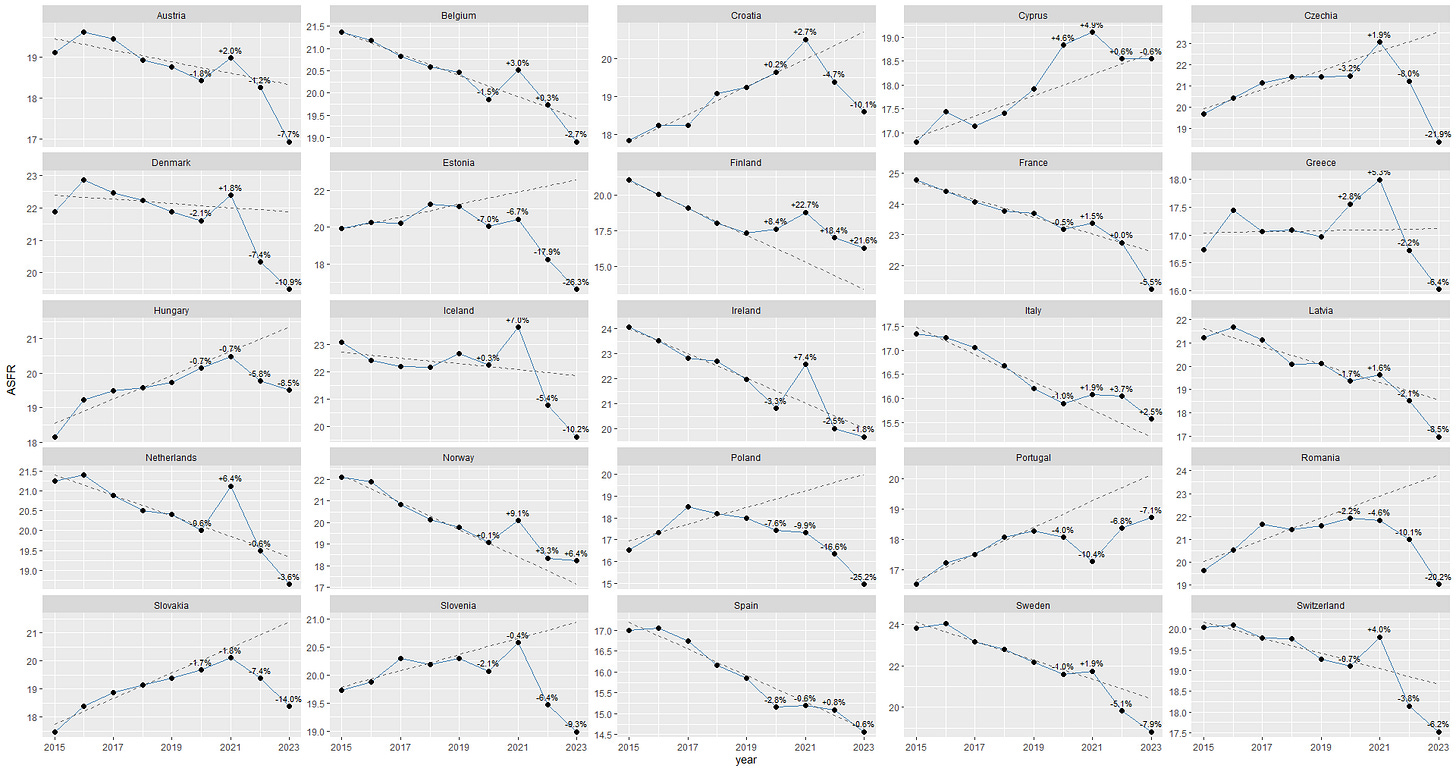
And, as can be expected from these data, in Israel as in other countries, live births have fallen sharply post roll-out; the following plot presents cbs.gov.il’s data per 1,000 women by age (R).

The sharp drop compared with the linear trend 2013-2019, in 2020 - followed by a bounce-up in 2021, followed by a new sharp drop in 2022- is similar to what can be observed in numerous highly vaccinated countries; see this plot produced for a previous article.6

So, to conclude… what Israel proves, mostly, is that the jabs absolutely didn’t work as advertised, and that the studies which found there a miraculous effectiveness - which never existed, even in the trial7 - are highly questionable.8

Refer to this plot by Henjin below, red emphasis mine.9

Good luck trying to explain the early 2022 wave arguing that 80% of the population was vaccinated with a product 95% effective at preventing symptomatic COVID-19 - or that this obvious disaster relates to waning efficacy, variants, short-lived protection, or any other fairy tale.

Good luck, as well, trying to argue that Israel had “placebo batches” or “special batches” - you’ll have no data to back that up, either.

It is a false debate, created to deflect from what really matters: everyone had bad lots, from products whose hazards are random and countless. It happened because the Good Manufacturing Practice (GMP) requirement of “uniformity from batch to batch”10 11 12 13 was not fulfilled by these products - as was obvious from the EMA leaks,14 explained by the “bait and switch” originally highlighted by Josh Guetzkow and Retsef Levi, and whose effects have been made evident by the work of Kevin McKernan and the multiple independent confirmations that followed.15

That is a reason for the immediate recall of these products - or it would be, in a world where regulators were doing their job and public debate wasn’t constantly contaminated by bad arguments.

💬 Join the conversation

Want to like, comment, or share this article?
Head over to our Substack page to engage with the community.

View on Substack

Likes, comments, and shares are synchronized here every 5 minutes.